SINTESIS ALKUNA
Alkuna merupakan senyawa organik dimana terdapat ikatan rangkap tiga karbon-karbon yang terdiri atas tumpang tindih ujung dengan ujung dari duaa orbital hibridi sp untuk membentuk ikatan σ dan tumpang tindih lateral dari dua set orbital p yang sejajar membentuk dua ikatan π yang saling tegak lurus.
Alkuna dapat disintesis dengan beberapa metode, seperti:
1. melalui Alkilasi
2. dengan reaksi katalis Paladium (Pd)
3. dengan Metatesis
1. Sintesis Alkuna dengan Alkilasi
Alkilasi merupakan suatu reaksi penambahan gugus alkil pada starting material berupa alkuna yang menghasilkan produk alkuna yang baru, salah satu contoh:
![]() |
| reaksi alkilasi pada asetilena |
Asetilena yang merupakan suatu alkuna sederhana dimana atom hidrogen yang melekat pada karbon yang berikatan rangkap tiga bersifat asam lemah karena adanya hibridisasi pada karbon yang menjadi lebih bersifat s dan kurang bersifat p. oleh karena sifat atom Hidrogennya yang merupakan asam lemah sehingga hidrogen ini akan lebih muda diambil oleh basa yang sangat kuat seperti Natrium amida (Na-NH2 ).
Setelah Amida mengikat hidrogen, dan hidrogen terlepas dari asetilena maka terbentuklah anion asetalida yang bermuatan negatif dan memiliki pasangan elektron bebas sehingga karbon ini dapat bertindak sebagai nukleofil kuat. Selanjutnya anion asetilida akan bereaksi dengan alkil halida seperti bromometana dengan terlebih dahulu membentuk keadaan transisi/intermediet, dimana elektron pada nukleofil menyerang karbon pada alkil halida yang terpolarisasi positif didalam bromometana dan adanya desakan elektron pada karbon (alkil halida) menyebabkan bromo (halida) terlepas dan mengikat Natrium menjadi NaBr. Sedangkan hasil reaksi antara nukleofil dan alkil menghasilkan produk berupa alkuna yang baru yakni Propuna.
Pembentukan terminal alkuna dapat dilakukan dengan alkilasi asetilena sedangkan pembentukan internal alkuna dapat dilakukan dengan alkilasi pada terminal alkuna. Dan syarat dari alkilasi adalah alkil halida yang digunakan haruslah alkil halida (bromida atau iodida) primer tidak diperkenankan untuk alkil halida sekunder atau primer karena tidak akan membentuk alkilasi tetapi akan terjadi dehidrohalogenasi.
2. Reaksi Alkuna dengan katalis Paladium (Pd)
Banyak produk baru yang dapat
disintesis dengan mereaksikan antara alkuna (sebagai starting material) dengan katalis Palladium, dimana umumnya katalis
Pd berperan dalam adisi ikatan rangkap tiga pada alkuna. Dimana reaksi yang
dapat terjadi adalah:
Salah satu reaksi alkuna dengan katalis Palladium (Pd) adalah
pada (section 5) reaksi hidrogenasi alkuna dimana terjadi adisi ikatan rangkap dimana
katalis paladium khusus (disebut katalis
Lindlat) dapat mengendalikan adisi hidrogen sehingga hanya 1 mol hidrogen
yang mengadisi. Dalam hal ini produknya ialah cis-alkena, sebab kedua hidrogen mengadisi muka yang sama pada
ikatan rangkap tiga dari permukaan katalis.
| hidrogenasi alkuna |
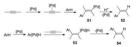
Pembentukan senyawa alkena yang tersubstitusi aril juga
dapat dibuat dengan mereaksikan alkuna dengan bantuan katalis Pd terhadap
reaksi hidroarilasi. Dimana pada mekanisme reaksinya terlebih dahulu terjadi
transisi logam palladium pada alkuna
![]() |
| reaksi hidroarilasi alkuna |
Pada reaksi sintesis Alkuna terjadi melalui reaksi pada (section 6) pada reaksi ini terjadi
3. Reaksi Metatesis
Reaksi metatesis merupakan reaksi yang melibatkan pertukaran bagian dari pereaksi (terjadi substitusi) .
pada reaksi ini penggunaan aril bromida yang dikatalisis paladium berupa [Pd (C3H5) Cl] akan bereaksi dengan terminal alkuna yang akan menggantikan posisi bromida. menghasilkan senyawa baru berupa alkuna tersubstitusi.
3. Reaksi Metatesis
Reaksi metatesis merupakan reaksi yang melibatkan pertukaran bagian dari pereaksi (terjadi substitusi) .
![]() |
| metatesis pada alkuna |
salah satu contoh reaksi sintesis alkuna dengan reaksi metatesis diatas adalah melalui pembentukan alkylidiena dimana terjadi melalui reaksi antara metatesis alkuna dengan senyawa alkuna lainnya. Pada reaksi terlebih dahulu terjadi penutupan cincin dengan adanya reaksi intarmolekul membentuk metalsiklobutadiena yang selanjutnya dengan adanya resonansi dari elektron pada orbital π yang kemudian membentuk senyawa baru berupa asetilena dan alkildiena dengan adanya pertukaran alkil antara 2 pereaksi alkuna.
DAFTAR PUSTAKA
Chinchilla, R dan C. Najera. 2013. “Chemicals from Alkynes with Palladium
Catalysts”. Chem Review.
Hart, H., L. E. Crain dan D.J.
Hart. 2003. Kimia Organik. Jakarta:
Erlangga.
Zhang,
W dan J. S. Moore. 2006. “Alkyne Metathesis: Catalysts and Synthetic
Applications”. Adv. Synth. Catal. 349, 93 – 120.
FORUM DISKUSI
1. Bagaimana syarat sintesis alkuna dengan melalui reaksi alkilasi?
2. Apakah reaksi metatesis dapat dilakukan dengan bantuan katalis, katalis apa yang dapat digunakan?








Tidak ada komentar:
Posting Komentar