Functional Group Manipulation
Berikut merupakan cara yang dapat dilakukan untuk manipulasi gugus fungsi dalam sintesis organik:
1. Protecting Group
Gugus pelindung dibutuhkan apabila pada reaksi sintesis diinginkan yang berekasi adalah gugus yang kurang reaktif dari dua gugus fungsional yang berbeda, atau apabila produk pertama dari suatu reaksi mempunyai satu gugus fungsional yang sama atau lebih reaktif dibandingkan bahan awal, maka gugus yang lebih reaktif harus dilindungi dengan gugus pelindung.
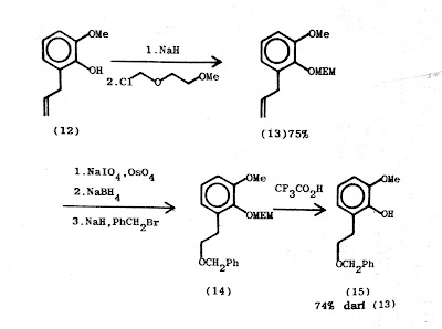
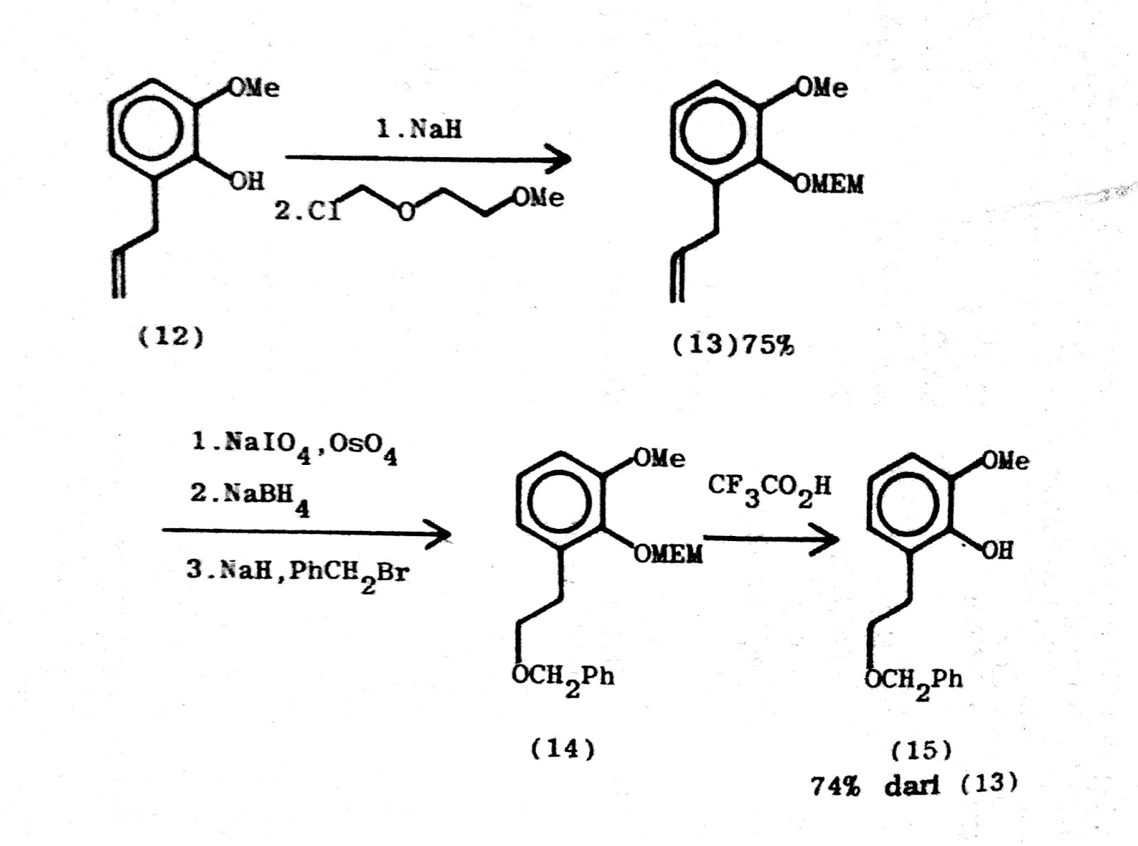
A. Metoksietoksimetil (MEM)
Pada reaksi berikut ini dilakukan proteksi gugus OH pada molekul yang mengandung lebih dari 1 gugus fungsional hal ini bertujuan untuk mensintesis asam gibberellat yang membutuhkan triol (15) yang mempunyai gugus OH bebas oleh karena itu perlu dilindugi dengan gugus MEM. Pada (13) terjadi ozonisasi ikatan rangkap, memasukkan dan melindungi gugus OH baru yang yang kemudian di deprotonasi dengan CF3CO2H untuk menghilangkan MEM.
C. Oxidation and reduction protocols
Oksidasi senyawa
organik merupakan keadaan terjadinya
pembentukan ikatan antara karbon dan atom yang lebih elektronegatif (biasanya
O, N, atau halogen) atau dengan pemutusan ikatan antara karbon dan atom kurang
elektronegatif (biasanya H) sehingga dapat menghilangkan kerapatan elektron pada karbon yang disebabkan oleh. Sebaliknya, reduksi organik menghasilkan penguatan
kerapatan elektron pada karbon yang disebabkan oleh pembentukan ikatan antara
karbon dan atom yang kurang elektronegatif atau dengan pemutusan ikatan antara
karbon dan atom yang lebih elektronegatif.
Oksidasi
mengurangi densitas elektron pada karbon dengan :
-
Membentuk salah satu dari : C-O;
C-N; C-X
-
Memutuskan ikatan : C-H
Reduksi
meningkatkan kerapatan elektron pada karbon dengan :
-
Membentuk : C-H
-
Memutuskan salah satu dari : C-O;
C-N; C-X
Berdasarkan definisi
ini, maka reaksi klorinasi metana untuk menghasilkan klorometana adalah
oksidasi karena ikatan C-H rusak dan terbentuk ikatan C-Cl. Sedangkan, pada konversi
alkil klorida menjadi alkana melalui pereaksi Grignard diikuti oleh protonasi
adalah reduksi karena ikatan C-Cl rusak dan terbentuk ikatan baru C-H.
DAFTAR PUSTAKA
McMurry, J.E. 2012. Organic Chemistry, Eighth
Edition. USA : Cengage
Learning.
1. pada penggunaan gugus pelindung MEM digunakan untuk melindungi gugus alkohol, bagaimana jika dalam suatu sintesis terdapat 2 gugus alkohol yang akan dilindung, apakah MEM dapat melindungi kedua gugus tersebut?
2. pada reaksi berikut, tentukan keadaan apa (oksidasi atau reduksi) yang terjadi dan keadaan apa yang terjadi pada reaksinya


Tidak ada komentar:
Posting Komentar